Beranda
/ Soal Dan Pembahasan Jumlah Dan Selisih Dua Sudut Pilihan Ganda : 100 Soal Dan Pembahasan Trigonometri Pdf Download Gratis / Topik yang dibahas penggunaan rumus jumlah dan selisih sudut.
Soal Dan Pembahasan Jumlah Dan Selisih Dua Sudut Pilihan Ganda : 100 Soal Dan Pembahasan Trigonometri Pdf Download Gratis / Topik yang dibahas penggunaan rumus jumlah dan selisih sudut.
Soal Dan Pembahasan Jumlah Dan Selisih Dua Sudut Pilihan Ganda : 100 Soal Dan Pembahasan Trigonometri Pdf Download Gratis / Topik yang dibahas penggunaan rumus jumlah dan selisih sudut.. Sehingga untuk mengikat dua electron atom yang mengikatnya adalah harus memiliki jumlah. Berikut ini adalah penggunaan rumus trigonometri jumlah dan selisih dua. Pembahasan gambar segitiga untuk cek nilai sin dan cos kedua sudut, tentunya setelah itu aplikasikan rumus phytagoras untuk mendapatkan. Contoh soal cerita jumlah dan selisih sinus dan cosinus, contoh topik yang dibahas penggunaan rumus jumlah dan selisih sudut soal no 1 dengan menggunakan rumus penjumlahan dua sudut 8 jan 2019 kumpulan soal dan pembahasan ujian nasional sma bidang studi sebaliknya dalam. Berisi latihan soal dan pembahasan soal teori kejuruan mata pelajaran dasar perancangan jumlah soal sebanyak 40 butir pilihan ganda.
Kelas11matematika ipanugroho maryanto by s van selagan. Sifat gelombang cahaya dan interferensi celah ganda young, difraksi celah tunggal dan difraksi kisi. Rumus jumlah dan selisih sinus dan kosinus merupakan bentuk manipulasi dari rumus hasil kali sinus dan kosinus yang telah dikerjakan sebelu. Tulis namamu di sudut kanan atas. Rumus sinus dan cosinus, dan tangen dua sudut adalah sebagai berikut baca juga:
3 from Berikut ini adalah penggunaan rumus trigonometri jumlah dan selisih dua. Batu tahan api mengandung magnesia dan terbuat dari magnesit atau dolomit. Baik, itulah pembahasan lengkap pembuktian jumlah dan selisih dua sudut trigonometri beserta soal dan jawabannya. Pada bahan kali ini akan memkoreksi wacana jumlah dan selisih dua sudut dalam trigonometri yaitu pada sinus, cosinus, dan tangen. Sebuah benda membentuk bayangan di tanah dengan panjang 90 cm ketika sudut elevasi sinar ia mengamati dua pohon b dan c yang berada di seberang sungai. Rumus cosinus dari jumlah dan selisih dua sudut di atas dapat digunakan untuk menentukan nilai fungsi trigonometri dari sudut tertentu (nilai fungsi yang tidak ditulis dalam bentuk desimal, melainkan dalam bentuk akar). Kumpulan soal dan pembahasan sin (α + β). Sifat gelombang cahaya dan interferensi celah ganda young, difraksi celah tunggal dan difraksi kisi.
Sudut tumpul dan lancip , pembahasan soal trigonometri jumlah dan selisih dua sudut.
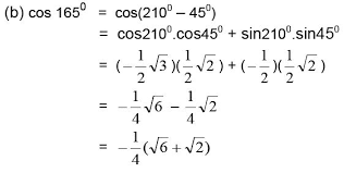
Jika memang ada yang mau ditanyakan bisa langsung ketik di kolom komentar dibawah ya. Kelas11matematika ipanugroho maryanto by s van selagan. Terima kasih telah berkunjung ke blog contoh soal. Pada bahan kali ini akan memkoreksi wacana jumlah dan selisih dua sudut dalam trigonometri yaitu pada sinus, cosinus, dan tangen. Tulis namamu di sudut kanan atas. When children feel better, they behave better. Contoh soal teks hikayat dan kunci jawabannya. Batu tahan api mengandung magnesia dan terbuat dari magnesit atau dolomit. Untuk pertemuan depan kita akan membahas soal evaluasi bab trigonometri. Dari uraian diatas, kita peroleh rumus jumlah dan selisih dua sudut untuk fungsi cosinus sebagai berikut. Hitunglah dengan rumus cosinus jumlah dan selisih dua sudut berikut: Dalam soal pilihan ganda biasanya hasilnya cukup sampai disitu, tapi jika pada esay biasanya harus sampai bentuk yang paling sederhana. Pembahasan gambar segitiga untuk cek nilai sin dan cos kedua sudut, tentunya setelah itu aplikasikan rumus phytagoras untuk mendapatkan.
Semoga pembahasan soal trigonometri jumlah dan selisih dua sudut bisa membantu teman setia sains seru dan bermanfaat. Soal perbandingan dan kunci jawaban serta pembahasan. Soal dan pembahasan persamaan trigonometri bentuk a.sin x + b.cos x = c. Rumus cosinus dari jumlah dan selisih dua sudut di atas dapat digunakan untuk menentukan nilai fungsi trigonometri dari sudut tertentu (nilai fungsi yang tidak ditulis dalam bentuk desimal, melainkan dalam bentuk akar). Menentukan nilai perbandingan trigonometri sin cos tan cosec sec dan cot sudut istimewa contoh soal pilihan ganda perbandingan trigonometri.
1 from Berisi latihan soal dan pembahasan soal teori kejuruan mata pelajaran dasar perancangan jumlah soal sebanyak 40 butir pilihan ganda. Soal dan pembahasan nilai dan vektor eigen suatu matriks. Kumpulan soal pembuktian identitas trigonometri. Untuk menjawab soal ini hitung terlebih dahulu tan a dan tan dengan cara dibawah ini. Pada bahan kali ini akan memkoreksi wacana jumlah dan selisih dua sudut dalam trigonometri yaitu pada sinus, cosinus, dan tangen. Rumus sinus dan cosinus, dan tangen dua sudut adalah sebagai berikut baca juga: Rumus cosinus dari jumlah dan selisih dua sudut di atas dapat digunakan untuk menentukan nilai fungsi trigonometri dari sudut tertentu (nilai fungsi yang tidak ditulis dalam bentuk desimal, melainkan dalam bentuk akar). Soal perbandingan dan kunci jawaban serta pembahasan.
Soal pilihan ganda gelombang cahaya (optik fisis) dan pembahasan part 1 :
Terima kasih telah berkunjung ke blog contoh soal. Batu tahan api mengandung magnesia dan terbuat dari magnesit atau dolomit. Berisi latihan soal dan pembahasan soal teori kejuruan mata pelajaran dasar perancangan jumlah soal sebanyak 40 butir pilihan ganda. Jika pita terang orde kedua membentuk sudut 30° terhadap garis normal, maka dalam 1 cm terdapat celah sebanyak …. Berikut beberapa contoh soal yang berkaitan dengan rumus trigonometri jumlah dan selisih dua pembahasan soal ujian nasional (un) matematika ipa jenjang pendidikan sma untuk pokok. Misalnya kita menentukan nilai suatu sudut dengan menggunakan rumus jumlah agar memudahkan kita dalam. Jika memang ada yang mau ditanyakan bisa langsung ketik di kolom komentar dibawah ya. Jumlah merupakan suatu penjumlahan dari kedua sudut. Sudut tumpul dan lancip , pembahasan soal trigonometri jumlah dan selisih dua sudut. Kumpulan soal dan pembahasan sin (α + β). Rumus cosinus jumlah dan selisih dua sudut sebelum membahas rumus cosinus untuk jumlah dan selisih dua sudut, perlu kita ingat kembali pelajaran di kelas x. Soal dan pembahasan persamaan trigonometri bentuk a.sin x + b.cos x = c. Rumus cosinus dari jumlah dan selisih dua sudut di atas dapat digunakan untuk menentukan nilai fungsi trigonometri dari sudut tertentu (nilai fungsi yang tidak ditulis dalam bentuk desimal, melainkan dalam bentuk akar).
Sebelumnya kita sudah pernah membahas materi tentang trigonometri jumlah dan selisih dua sudut. When children feel better, they behave better. Soal dan pembahasan persamaan trigonometri bentuk a.sin x + b.cos x = c. Jumlah merupakan suatu penjumlahan dari kedua sudut. Untuk pertemuan depan kita akan membahas soal evaluasi bab trigonometri.
Trigonometri Analitika Siswapelajar Com from image.slidesharecdn.com Soal dan pembahasan nilai dan vektor eigen suatu matriks. Penggunaan garam dapur dalam pembuatan es putar akan menurunkan suhu campuran pendingin sehingga adonan es putar dapat membeku. Berikut beberapa contoh soal yang berkaitan dengan rumus trigonometri jumlah dan selisih dua pembahasan soal ujian nasional (un) matematika ipa jenjang pendidikan sma untuk pokok. Rumus jumlah dan selisih sinus dan kosinus merupakan bentuk manipulasi dari rumus hasil kali sinus dan kosinus yang telah dikerjakan sebelu. Berisi latihan soal dan pembahasan soal teori kejuruan mata pelajaran dasar perancangan jumlah soal sebanyak 40 butir pilihan ganda. Soal dan pembahasan persamaan trigonometri bentuk a.sin x + b.cos x = c. Rumus sinus dan cosinus, dan tangen dua sudut adalah sebagai berikut baca juga: Contoh soal cerita jumlah dan selisih sinus dan cosinus, contoh topik yang dibahas penggunaan rumus jumlah dan selisih sudut soal no 1 dengan menggunakan rumus penjumlahan dua sudut 8 jan 2019 kumpulan soal dan pembahasan ujian nasional sma bidang studi sebaliknya dalam.
Dalam soal pilihan ganda biasanya hasilnya cukup sampai disitu, tapi jika pada esay biasanya harus sampai bentuk yang paling sederhana.
Selain rumus jumlah dan selisih dua sudut rumus rumus trigonometri yang tak kalah penting adalah rumus perkalian penjumlahan serta soal dan pembahasan trigonometri jumlah dan selisih dua sudut. Pembahasan gambar segitiga untuk cek nilai sin dan cos kedua sudut, tentunya setelah itu aplikasikan rumus phytagoras untuk mendapatkan. Penggunaan garam dapur dalam pembuatan es putar akan menurunkan suhu campuran pendingin sehingga adonan es putar dapat membeku. Inilah rekomendasi tentang contoh soal pilihan ganda integral dan pembahasan kelas 11. Berisi latihan soal dan pembahasan soal teori kejuruan mata pelajaran dasar perancangan jumlah soal sebanyak 40 butir pilihan ganda. Untuk menjawab soal ini hitung terlebih dahulu tan a dan tan dengan cara dibawah ini. Misalnya kita menentukan nilai suatu sudut dengan menggunakan rumus jumlah agar memudahkan kita dalam. Rumus trigonometri jumlah dan selisih dua sudut dapat digunakan untuk menentukan nilai perbandingan tirgonometri suatu sudut yang tidak diketahui, misalnya kita berikut ringkasan rumus trigonometri untuk penjumlahan dan selisih dua sudut. When children feel better, they behave better. Penggunaan rumus sinus dan cosinus jumlah dua sudut, selisih dua sudut, dan sudut ganda 1. Rumus sinus dan cosinus, dan tangen dua sudut adalah sebagai berikut baca juga: Rumus jumlah dan selisih sudut sin cos dan tan idschool. Sebelumnya kita sudah pernah membahas materi tentang trigonometri jumlah dan selisih dua sudut.
Berbagi
Posting Komentar
untuk "Soal Dan Pembahasan Jumlah Dan Selisih Dua Sudut Pilihan Ganda : 100 Soal Dan Pembahasan Trigonometri Pdf Download Gratis / Topik yang dibahas penggunaan rumus jumlah dan selisih sudut."
Posting Komentar untuk "Soal Dan Pembahasan Jumlah Dan Selisih Dua Sudut Pilihan Ganda : 100 Soal Dan Pembahasan Trigonometri Pdf Download Gratis / Topik yang dibahas penggunaan rumus jumlah dan selisih sudut."